连分数

\(\newcommand{\erf}{\operatorname{erf}} \newcommand{\erfc}{\operatorname{erfc}}\) 不久之前,我在票圈看到了这么一个问题:

票圈

兴趣一下子就上来了……

虽然我也不会算,但是我会码代码呀。于是我码了个简简单单的代码:

ans = 0
for i in reversed(range(1, 100)):
ans = 1 / sqrt(1 + i / ans)
print(ans)
得到一个值,大概是 0.6714477127。这个时候就可以祭出我们的 ISC (Inverse Symbolic Calculator) 啦。可惜的是,ISC 上并没有找到任何资料……

后来想,这个东西带 sqrt 八成是搞不出来的,不如我们看看没有 sqrt 是什么情况吧……这其实也不好搞,但是我们可以强行找规律:令 \[ a_n = \cfrac{1}{1 + \cfrac{\ddots}{\ddots \cfrac{n - 1}{1 + n}}} = \frac{p_n}{q_n}, \] 手动算几个数: \[ \{a\} = \frac{1}{1}, \frac{1}{3}, \frac{4}{6}, \frac{8}{18}, \frac{28}{48}, \dots \] 然后召唤 OEIS,可以搜出分子为 A059480,分母为 A000932。由于我们求 \(\lim_{n \to \infty} \frac{p_n}{q_n}\),所以我们要找 \(p\)\(q\) 的渐进表达式。幸运的是,OEIS 上给出了两者的渐进表达: \[ \begin{cases} p_n \sim ~ \left(\frac{1}{\sqrt{2}} + \frac{\sqrt{\pi e}}{2} \left(\erf \left(\frac{1}{\sqrt{2}} \right) - 1 \right) \right) n^{n/2+1} \exp(\sqrt{n} - n/2 - 1/4) \left(1+\frac{31}{24 \sqrt{n}} \right), \\ q_{n-1} \sim \frac{\sqrt{\pi}}{2} \left(1-\erf \left(\frac{1}{\sqrt{2}} \right) \right) n^{n/2+1/2} \exp(\sqrt{n}-n/2+1/4) \left(1+\frac{19}{24\sqrt{n}} \right). \end{cases} \] (这里插一句,给出这个表达式的人是同一个,好像还是个国际象棋大师,他把他求渐进表达式的方法放在 arxiv 上了……)剩下的就是苦力活, 把 \(\frac{p_n}{q_n}\) 慢慢化简一下,消掉无穷小项,可得 \[ \lim_{n \to \infty} a_n = \lim_{n \to \infty} \frac{p_n}{q_n} = \frac{1}{\sqrt{\pi e / 2} \left(1-\erf \left(\frac{1}{\sqrt{2}} \right) \right)} - 1. \] Amazing! 居然这么整洁……

我正准备把这个结果告诉朋友,结果他抢先一步说: 没有 sqrt 的答案 我大受震撼,忙问他怎么搞出来的,结果…… 拉马努金 我???这也在你的算计之内吗拉马努金?!

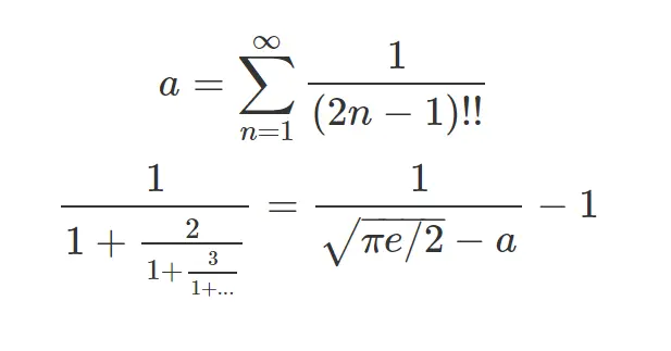
我突然发现,我朋友这里面引入了一个 \[ a = \sum_{n=1}^{\infty}\frac{1}{(2n-1)!!}, \] 但我这里面似乎就一个 \(\text{erf}(1 / \sqrt{2})\),如果我们没算错的话,这就意味着…… \[ \sum_{n=1}^{\infty}\frac{1}{(2n-1)!!} = \sqrt{\pi e / 2} \erf(1 / \sqrt{2}). \] 哈哈哈哈拉马努金也不过如此(doge)。这个式子怎么证明还不知道,但是此时我已经凌晨好几点了,打工人还要早起上班,于是我就去睡觉了。

第二天早上一起来,发现朋友已经证出来了: 证明 我一看上面那个式子觉得好熟悉啊……这个式子看起来可以用来算 erf,而我之前研究的解析方法数素数中少不了要来算 erf,于是翻了翻,虽然没在 Wikipedia 找到它的证明,但是找到了 这个\[ \erfc z = \frac{2}{\sqrt{\pi}} e^{-z^2} \cfrac{1}{z^2 + \cfrac{1/2}{1 + \cfrac{2/2}{z^2 + \cfrac{3/2}{1 + \dots}}}}, \] 这么一看,直接令 \(z = \frac{1}{\sqrt{2}}\) 就可以直接得出 \[ \erfc \frac{1}{\sqrt{2}} = \frac{1}{\sqrt{\pi e}} \cfrac{1}{1 + \cfrac{1}{1 + \cfrac{2}{1 + \cfrac{3}{1 + \dots}}}}. \] 好了,游戏结束。忙活了一场,人家早就给出答案了。连分数这水太深,我真是把握不住……